Skip to content Skip to sidebar Skip to footer

Widget HTML #1

How To Find Focal Length Of Plano Convex Lens : If all else fails, call up the manufacturer and ask them for (f) by giving them the product #.

How To Find Focal Length Of Plano Convex Lens : If all else fails, call up the manufacturer and ask them for (f) by giving them the product #.. Radius of curvature and the two media influence the focal point. The focal length of each lens can be calculated using a simplified thick lens equation. Related threads on focal length of plano convex lens. Can you find rough focal length of a concave lens? A convex lens has more focal length.

How can you measure the focal length of a convex lens? How does the focal length of a convex lens change if it is dipped in water? The distance between the needle and the lens gives the focal length of the lens. You can always find the focal length of the lens by reading the envelop in which the lens was shipped. Then the focal length of the lens is.

Find The Radius Of Curvature Of The Convex Surface Of A Plano Convex Lens Sarthaks Econnect Largest Online Education Community
Find The Radius Of Curvature Of The Convex Surface Of A Plano Convex Lens Sarthaks Econnect Largest Online Education Community from www.sarthaks.com
How does the focal length of a convex lens change if it is dipped in water? A convex lens has more focal length. But it's much more fun finding it on your own. To find the focal length of a convex lens by plotting graphs between u and v and between 1/u amd 1/v. This is experiment 11 to find the focal length of a concave lens using a convex lens by atulya kaushik on vimeo, the home for high quality videos and… Its very important for us! These were all done by using by continuing to use this website, you agree to their use. You should find the thicker the lens, the shorter the focal length.

Assume that the index of refraction of the lens is 1.5.

This is experiment 11 to find the focal length of a concave lens using a convex lens by atulya kaushik on vimeo, the home for high quality videos and… Find answer in image to clear your doubt instantly: The distance between the needle and the lens gives the focal length of the lens. How does the focal length of a convex lens change if it is dipped in water? Camera exposure a photographs exposure determines how light or dark an image will appear when it's been captured by your camera. The radius of curvature is 200mm. Also, focal lengths of a convex and a concave lens were determined. It is the inverse of the system's optical power. In this lens, the focal length is negative, thus, the focal points are reversed relative to the positive lens. • finding focal length of a converging lens practical. The focal length of an optical system is a measure of how strongly the system converges or diverges light; In this position rays of light starting from the tip of the pin go parallel to the principal axis and define the terms principal foci and focal lengths as applied to a convex lens, and show them with the help of proper diagrams. 60 cm to the left of lens12 cm to the left of lens60 cm to the right of lens30 cm to the left of lens.

Related threads on focal length of plano convex lens. A simple experiment using a magnifying. The focal length of a convex lens can be found by the formula given below, if we know the object distance (u) and the image distance (v). For this purpose the lens is put very close to the eye in between the eye and the object to be. Left side is air and the glass has a index of 1.5.

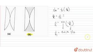
1014416 A Thin Plano Convex Lens Of Focal Length F Is Split Into Two Halves One
1014416 A Thin Plano Convex Lens Of Focal Length F Is Split Into Two Halves One from toppr-doubts-media.s3.amazonaws.com
To find out more, including how to. How can you measure the focal length of a convex lens? Radius of curvature and the two media influence the focal point. Tips of the object and image needles should lie at the same height as the centre of the lens. In this position rays of light starting from the tip of the pin go parallel to the principal axis and define the terms principal foci and focal lengths as applied to a convex lens, and show them with the help of proper diagrams. From lens maker's formula an object placed at a distance of 9 cm from first principal focus of convex lens, produces a real image at a distance of 25 cm from its second principal focus. Not a single reading is correct. The focal length of an optical system is a measure of how strongly the system converges or diverges light;

A convex lens has more focal length.

If the speed of light in the material of the lens is 2 x 10^8 m/sec, what is the focal length of the lens?could anyone help me to solve this problem? Assume that the index of refraction of the lens is 1.5. 60 cm to the left of lens12 cm to the left of lens60 cm to the right of lens30 cm to the left of lens. Related threads on focal length of plano convex lens. Can you find rough focal length of a concave lens? The radius of curvature is 200mm. If the speed of light in the material of the lens is 2 x 10^8 m/sec, what. You can always find the focal length of the lens by reading the envelop in which the lens was shipped. Left side is air and the glass has a index of 1.5. What is a concave lens and how. These were all done by using by continuing to use this website, you agree to their use. A light source 230 cm from a double convex lens forms a clear image 5 cm on the other. The distance between the needle and the lens gives the focal length of the lens.

The front surface of this lens is flat, and the rear surface has a radius of curvature of. Tips of the object and image needles should lie at the same height as the centre of the lens. • finding focal length of a converging lens practical. Your v value is wrong don't know how to subtract. Parallax should be removed from tip to tip by keeping eye at a distance at least 30 cm away from the.

A Plano Convex Lens Of Refractive Index µ1 And Focal Length F1 Is Kept In Contact With Another Plano Concave Lens Of Refractive Index Sarthaks Econnect Largest Online Education Community
A Plano Convex Lens Of Refractive Index µ1 And Focal Length F1 Is Kept In Contact With Another Plano Concave Lens Of Refractive Index Sarthaks Econnect Largest Online Education Community from www.sarthaks.com
60 cm to the left of lens12 cm to the left of lens60 cm to the right of lens30 cm to the left of lens. Feel free to send suggestions. A convex lens has more focal length. The front surface of this lens is flat, and the rear surface has a radius of curvature of. Then the focal length of the lens is. • finding focal length of a converging lens practical. The focal length of convex lens formula is object distance multiplied by the image distance divided by the difference of the object distance and the image a convex lens has a fixed point inside the lens on its principal axis through which light rays pass undiverted. Or do you know how to improve studylib ui?

To find the focal length of a lens, measure the distances and plug the numbers into the focal length formula.

To find the focal length of a convex lens by plotting graphs between u and v and between 1/u amd 1/v. Camera exposure a photographs exposure determines how light or dark an image will appear when it's been captured by your camera. The radius of curvature is 200mm. Then the focal length of the lens is. Measuring focal length by the lens displacement method using conjugate foci 12. Its very important for us! Did you find mistakes in interface or texts? It always includes the (f). To find the focal length of a lens, measure the distances and plug the numbers into the focal length formula. The focal length of an optical system is a measure of how strongly the system converges or diverges light; Left side is air and the glass has a index of 1.5. Can you find rough focal length of a concave lens? Define optical centre of a lens ?

Feel free to send suggestions how to find focal length of convex lens. If all else fails, call up the manufacturer and ask them for (f) by giving them the product #.